Hello,
Sorry for not answering sooner, been busy with more people contacting in private and discussing stuff.
To establish a result-based decision, I've found one of my earlier observation session suitable: I've made a full night observation of Gam Cas around He I 4471 to repeat an earlier known phenomena about puslation effect on absorptions (this is known indeed, I just wanted to repeat it myself). That was a shorter summer night: 21:22 - 02:23 UTC (5 hours total!).
I was using the 0th calibration (40 seconds each, 1x1 bin) to calibrate ALL frames shown here (6 prominent lines + 6 lower snr lines) both calibrations (40 sec) and target spectra (350-250 sec) between each other.
I processed calibrations (49 of them) measuring RV using ISIS -> Misc/Radial Velocity (other name: CCF or cross correlation) method.
First shot of example, to imagine how Gam Cas looks in this region (Y range is small):

- varying features, not only He I 4471
Shifts during 5 hour is 40 km/sec in total:

- result_cals.png (15.22 KiB) Viewed 8325 times
It is non-linear. Bigger shift in the first 1 hour.
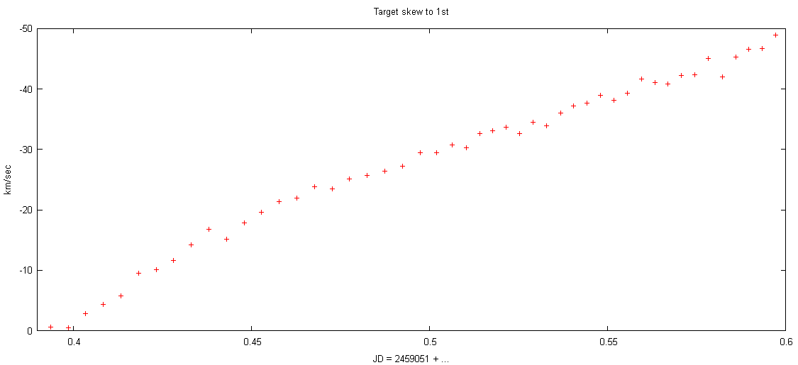
To confirm the shift is real (not just my internal Ar/Ne lamp misbehaving), measured RVs against 1st real spectrum:

- result_tgts.png (15.3 KiB) Viewed 8325 times
It has some bigger noise, it's why I don't like using the spectrum (here at least 3 features changed, and I took only 1 flat later).
Summary:
- my shift is roughly 8 km/s per hour on average, as 5 x 8 = 40 (went up to roughly 16 km/s per hour here at the beginning)
- sometimes non-linear (see graph), temperature drop suspected (typically beginning 1/3 of my nights)
- target spectrum is not useable for shifts corrections, here used only as a check
Because of my typical use (1-3 hours per spectrum), I prefer staying with ISIS, and transit sum header via different software (BaSS is going support summed fits header transition soon).
Thank you all for reading all of this!
Peter
Note: I have special camera-adapter with many screws added, and a 2" LHires-to-scope adapter, only manual focusing. Others may have very different physical setup!
Note 2: quickly looked at spcAudace/archive_pipe-2a.zip, amazed by the shift within just 30 minute... but because of non-linearity and longer exposure time projects, I prefer staying with ISIS for now.
Note 3: SpectroCalc2 is going to add demo files with youtube later, however it requires darks matching with exposure times (bigger restriction), and no cosmetic processing + cosmic rays facility, and not going to be added.