Halpha EW Time Serie

Post Reply
Francois Teyssier
Posts: 1565
Joined: Fri Sep 23, 2011 1:01 pm
Location: Rouen
Contact:

Halpha EW Time Serie

Post by Francois Teyssier »

Hi,
I tried a time serie yestersday on P Cygni.
It consists in 24 spectra (each spectra is the sum of 9 images) acquired during 2 hours (19:55 to 21:55 UT) every 5 minutes.

EW Halpha is measured between 651.5 and 661.5 nm. The continuum is estimated in the ranges [649.5 nm ; 651.5 nm] and [661.5 nm ; 663.2 nm]

Here's the result : EW(Ha) = f(Julian Date)

Image

The mean value is EW = 94.8 angströms ; the standart deviation of the 24 measures is 0.45 (i.e. about 0.5%).
Mean value, mean +/- 1 sigma and mean +/- 2 sigma lines on the graph.
All the measures are in the interval ( m - 2 sigma, m + 2 sigma).
There's non tend. The slope of a linear regression curve is 0.

Conclusion : at a resolution R = 1000, no variability in EW is détected, during that 2 hours survey.

Corollary, the error in measurement, with a snr of the continuum of about 100, is 0.5%. No so bad. Interesting order of magnitude for similar studies (for R = 1000, of course)

Best regards

François Teyssier
Attachments
EW_Ha.PNG
EW_Ha.PNG (12.76 KiB) Viewed 5507 times
Ernst Pollmann
Posts: 461
Joined: Mon Sep 26, 2011 7:16 pm

Re: Halpha EW Time Serie

Post by Ernst Pollmann »

Hi Francois !

I made a similar attempt on September 30th:
background has been the relativ strong variability of Halpha EW, as the monitoring of ARAS-observers with very different instruments does show.

Within a time period of more than 3 hours I took spectra in a 4 minutes interval, exposure time = 50 sec per spectrum:
spectrum 1: 18:07 hr Z = 67° CCD temperature = -19.01 °C
spectrum 48: 21:24 hr Z = 33° CCD temperature = -21.9 °C

CCD-saturation in all cases = 85-90% of 16 bit.

As we know meanwhile, the Halpha EW is influenced among others of the V brightness variations of the continuum (see fig. pcyg2). Thus, in order to find out a possible shortterm behavior of the intrinsic emission intensity, I defined a ratio between the maximum line flux of the emission (Femi) to the continuum flux (Fcont) at lambda 6500 Angstr. In this way, the influence of the atmospheric extinction is eliminated.

The attached fig. (pcyg1) does show the time behavior of the ratio Femi/Fcont. We can clear recognize a tendency to higher values, superimposed by a very shortterm variability within few minutes. This result confirms what we did assume: shortterm variability in EW, caused by the intrinsic line flux.

Ernst Pollmann
----------------------------------------
Active Spectroscopy in Astronomy
http://www.astrospectroscopy.de
Attachments
pcyg2.jpg
pcyg2.jpg (73.09 KiB) Viewed 5486 times
pcyg1.jpg
pcyg1.jpg (32.55 KiB) Viewed 5486 times
Francois Teyssier
Posts: 1565
Joined: Fri Sep 23, 2011 1:01 pm
Location: Rouen
Contact:

Re: Halpha EW Time Serie

Post by Francois Teyssier »

Hi Ernst
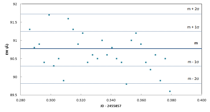
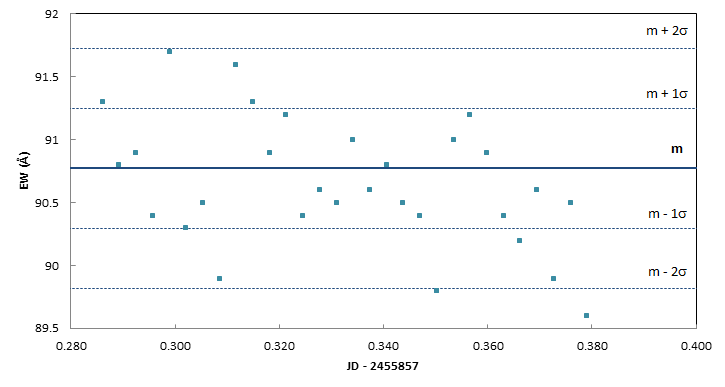
A new time serie (22-10-2011)
240 images for 30 spectra (each one sum of 8 images).
A spectrum every 4.6 minutes

I followed your recommendation (maximum line flux of the emission (Femi) to the continuum flux (Fcont) at lambda 6500 ) :

Image

EW mean = 90.8

Image


You tell me if it's useful to continue.

Best regards

François
Attachments
PCyg_20111022_EW.PNG
PCyg_20111022_EW.PNG (12.64 KiB) Viewed 5460 times
PCyg_20111022_Femi.PNG
PCyg_20111022_Femi.PNG (11.33 KiB) Viewed 5460 times
Post Reply