Some Q&A on VV Cep

VV Cep 2017-2019 Campaign
Moderator for this forum: Ernst Pollmann
Post Reply
Olivier Thizy
Posts: 370
Joined: Sat Sep 24, 2011 10:52 am
Location: in the french Alps...
Contact:

Some Q&A on VV Cep

Post by Olivier Thizy »

Hello,



here are some Questions & Answers I personally had on VV Cep - Steve Shore and Phil Bennett kindly reply to. So here is ther compilation for everyone to read:

Q: I understand that the supergiant star will "soon" explode as a supernova... any idea of the timescale? Are we talking centuries, millenium or millions of years?

A:
[Phil] We don't really know, but the lifetime of a 20 solar mass star on the main sequence is about 10 Myr (=10^7 yr), on only about 1 Myr as a red supergiant. So it's remaining lifetime as a red supergiant is short, astronomically speaking, which could mean it go explode tomorrow. We don't know, but the probability suggest it will still be a while. Betelgeuse is in the same situation.
[Steve] The current model for the systemis two stars with about the same mass, around 18 solar masses. This isn't an especially large value but for the evolved star, the supergiant, it implies considerable mass loss and that it's on the AGB (the asymptotic giant branch is the stage, post core helium burning, when the star has several nuclear sources but hasn't yet ignited its carbon core). This stage, with it's thermal and nuclear instabilities, is marked by several flashing events (so-called "dredge up" stages because material is transported by convection through the envelope that comes and goes as the nuclear sources fluctuate in luminosity). The B star is presumably on the main sequence, if it isn't abnormal, and its mass is about right. So for the evolution, the supergiant has millennia (at least) before it undergoes core collapse. But this is an interesting question because the rate of mass loss affects the evolution.

The age of the system at present is about 20 Myr. The supergiant then likely has about 1% of that time remaining in its evolution but that severely depends on the rate of mass loss. It was clearly the more massive star to begin with. Now the mass ratio, about unity, means it may have lost about 40% of its mass. The abundances have yet to be determined but, if the star has undergone appreciable stripping, it could reveal an overabundance of elements relative to hydrogen that would be the result of stripping (hydrogen deficiency is implied by high CNO and metallic abundances). It would be very interesting to try performing a full atmosphere analysis, the Bennett and Bauer chapter in the Zeta Aur survey has nothing to say on this point, nor do any of their published studies.

Q: The supergiant does not always fill its Roche lobe but there seems to be mass transfer some times - certainly at periastron?

A:
[Phil] The stars appear to be well-separated, and the M supergiant never comes close to filling its Roche lobe. There is mass accretion onto the hot companion, but this is from *wind* accretion -- gas from the wind of the M supergiant that just happens to be intercepted, and gravitationally captured, by the hot companion.
[Steve] The environment around the B star is a mess. No question. There are two, related phenomena produced by the star's orbital motion through the companion's wind. Both are the same as for symbiotic stars, so it's important to keep in mind that only the radius of the accreting star is different. The orbital eccentricity is about 0.35 so there's a difference of a factor of 2 in the distances. At closest approach, it is possible that the supergiant fills its instantaneous critical surface but, remember, this is not the same as the "Roche lobe overflow" envisioned for normal close binaries (of, say, the Algol or even Be type). It would be better to think of this as a tidal truncation of the wind. The reduction in distance means the wind will be launched from a surface of even lower gravity than normal and both its density and velocity at the B star increases. The timescale for this change is not all that long, and the flow times are much shorter than the orbital timescale, so the wind can form an accretion disk around the B star since its angular momentum isn't zero. There will always be a shock sitting in front of the B star, it's moving through a dense environment. But the difference between this and a symbiotic is that for a white dwarf, the gravitational field is so much stronger at the inner boundary of the shock and/or disk that the temperatures are far higher and the wind is more ionized. Here, the surface gravity of the B star is not that different from the Sun and the escape velocity isn't that much higher. The disk will be more like that in a Be system, or any other lower mass accreting pair.

The closest analog to the disk structure is W Ser, or beta Lyr, neither of which is a "normal" Be star.

Q: The hot companion is a main sequence B star with an accretion disk around and it does emit Halpha emission... but while several articles use the terms "Be star", the chapter from Ake, Thomas B. & Griffin, Elizabeth "Giants of Eclipse: The Zeta Aurigae Stars and Other Binary Systems" (Springer 2015) on VV Cep doesn't use that term and seem to avoid it. Does this mean that VV Cep is NOT a Be star (and as such is not in BeSS databse)?
In that case, lot of Be stars are binaries and certainly some with similar mass transfer phenomena - a good exemple is beta Lyrae (shelyak)! Should we say that beta Lyrae is not a Be star too?
Or maybe VV CEp should be considered as Be star and added in BeSS database?

A:
[Phil] The companion is probably quite similar in structure to a Be star, and in fact, one of the closest matches to the ultraviolet spectrum (where only the B star is seen) is Pleione (=28 Tau), a bright Be star in the Pleiades. The main difference is that Be stars are believed to be *shedding* material around the equator due to rapid rotation (because of the large centrifugal force). VV Cep is *accreting* material around its equator.
[Steve] This is where the promised epistemological point comes in. Don't take seriously these distinctions in taxonomy. There isn't physical reasoning behind any of them. the Be stars were so names because they show a B type stellar continuum (and line spectrum) along with emission from the Balmer series. That's it. That they also show a set of similar properties is a different matter. The "e" means Balmer emission in the same way that for the On stars the "n" means broad lines and possibly He I and He II emission, and also the N III 4636A feature. The B[e] stars are so called because og Fe Ii and [Fe II] emission and so on. Whenever you take spectral types seriously, you're implying that the physical conditions are broadly similar, if not identical. Spectral types work for normal stars because most of them are in hydrostatic balance (mechanically stable) and thermally stable with longlived nuclear sources. They reach an equilibrium so their optically thick surfaces, their photospheres, are broadly similar for a specific mass, radius, and luminosity. It's because they're *stable*. But when you deal with any time dependent phenomenon, e.g. accretion disks, variable winds, pulsation, mass exchange, you move out of the realm of classification as an indicator of a broad "taxon" (sample type) to a more descriptive mode. The Be stars, I'll assert, are any accreting or mass losing object that satisfies the condition of line formation, not of the underlying star. That there is a limited range in which the phenomenon is observed may be due, at least in part, to the peculiar set of temperature and density conditions found in many binaries or rapidly rotating stars. The line formation depends on local effects and those can arise for a wide range of causes. In a planetary nebula the gas is very similar to a symbiotic but one isn't the other except that their spectra look similar. The same for novae and planetaries. Winds are not always spherical so not all profiles are P Cyg in the usual sense (in fact, Beals distinguished several types of such profiles).

I hope this helps. It's not hard to get mired in the terminology, it's much worse in cataclysmics. But this tendency to split categories according to the phenomenology is one that you see also in biology. The taxonomists call this the difference between the "lumpers" (those who put things together in broader categories, trying for unification of the individuals) and"splitters" (their opposite numbers). As you know, I'm a confessed "lumper".

Q: I couldn't find the best prevision for next eclipse, specially as last one didn't occure exactly as calculated. Is there a good reference as when the eclipse will start & end spectroscopically, with ingress & egress details?

A:
Phil Bennet (St. Mary´s University, Hallifax, Canada) is coordinating the campaign as PI.
Campaign web page: http://www.ap.smu.ca/~pbennett/vvcep/campaign2017.html

A very important paper from Jeff Hopkins, Phil Bennett and Ernst Pollmann gives some details on the next 2017/2019 eclipse and is available on ADS:
http://adsabs.harvard.edu/abs/2015SASS...34...83H
[Phil] The best timing reference is Leejarv et al (1999). From that paper, for the 1997/98 eclipse:

T0= JD 245 0858 mid-eclipse ph0= 0.0000 (orbital phase)
T1= JD 245 0540 1st contact ph1= -0.0428
T2= JD 245 0624 2nd contact ph2= -0.0315
T3= JD 245 1091 3rd contact ph3= 0.0314
T4= JD 245 1190 4th contact ph4= 0.0447
[Steve] This leads to the next problem. How to construct a collection or organize a campaign. If it's to look at a type of star, or collect data in a systematic way, it becomes a problem. There was a time when shell stars were thought to be different from Be stars, except that they change into each other sporadically over time. Think of Pleione (28 Tau). OK, it's a classical Be star but it also changes over time.

Perhaps a different approach would be to just think that these are weird beasts, these Be and B[e] and the like stars, and collect all of them in the general category of "stars with emission lines". That would unify the data if not the individual phenomena, and allow a more general (or ecumenical) approach. For instance, historically, there's the precedent of the MWC catalog that was based only on the presence of Halpha emission. The Bidelman catalog in the '50s was of stars with emission lines of whatever species (this later became the basis of the SIMBAD database, by the way).

Q: As discussed at OHP, the emission line varies in short timescale so it would be worthwhile to monitor VV Cep during several days. Any volunteers? :-)
Otherwise, we are looking at taking a spectrum every week or couple of weeks until the ingress scheduled time...

A:
see article from Bob Stencel et al. 1993:
http://adsabs.harvard.edu/abs/1993PASP..105...45S
Abstract: Biweekly ultraviolet observations of the red supergiant-hot dwarf binary VV Cephei during 1991, obtained near third quadrature, have revealed the existence of short-term continuum variations. We infer these are superposed on an underlying emission-line spectrum. The viewing geometry of this long-period system suggests we are seeing a process associated with nonuniform mass transfer to an accretion disk. This rapid variability can be related to global instabilities in the stellar wind and mass loss from the red supergiant.
[Phil] If anyone is able to monitor the ultraviolet (< 4000 A), that would be extremely useful, although I realize that is a difficult region to observe.
[Steve] The timing has to be the same orbit to orbit except for changes in the chromosphere of the M star. That makes life more complicated for eclipse prediction because this is an extended atmosphere eclipser. Pulsations, the shell flashes I mentioned, happen on decade timescales and the photospheric radius can vary by large amounts. My advice is to continue monitoring without regard to any specific event because, that way, you will achieve a complete and unbiased picture of the shorter timescale behavior of the system. That, for the physical understanding -- especially of anything hydrodynamic -- is much more important (and, well, fun because you will never see the same thing!)

Proposed periodicity bout right but some more frequent sampling wouldn't be a bad idea. For such an extended disk, the timescale of a week is sampling an intermediate to inner part of the disk so that's good. There might be related effects in the B star itself that you don't see because of the circumstellar junk, but you could also try an occasional shot more than once per night in that week's sampling.

It's VERY important, though, to NOT sample exactly regularly, so you don't introduce aliases. For any short timescale effects that's a risk since you won't know in advance what timescales are relevant. Shift by a day or so, and also never take the spectra at precisely the same time of night. Observers spread in longitude will help avoid this problem, or reduce its effect on the data.

Cordialement,
Olivier Thizy
Ernst Pollmann
Posts: 461
Joined: Mon Sep 26, 2011 7:16 pm

Re: Some Q&A on VV Cep

Post by Ernst Pollmann »

Olivier,
it seems you did not have any OHP-discussion (with Steve) corresponding my proposed question:
"Is there a plausible explanation relating to the mysterious behavior of the radial velocity while phase (approx.) 0.5 ?"
vvcep_RV.png
vvcep_RV.png (17.66 KiB) Viewed 13182 times
If so, it's a pity, I would say.
Because the current RV behavior is one of the "real" observed parameter (among others) of the system, that should be to discuss!!
In addition, I miss a link to the recent IBVS publication of Pollmann, Bennett & Hopkins:

http://ibvs.konkoly.hu/cgi-bin/IBVS?6156

in which the current state of observation of the entire campaign is demonstrated.

Ernst
Olivier Thizy
Posts: 370
Joined: Sat Sep 24, 2011 10:52 am
Location: in the french Alps...
Contact:

Re: Some Q&A on VV Cep

Post by Olivier Thizy »

Ernst,


two nights ago I took a spectrum of VV Cep and mu Cep in order to compare them.

Around Halpha for exemple, the spectra look very similar with a shift of 48km/s (CDS Simbad gives a difference of 23km/s + 18.7km/s so 41.7km/s; I suspect the additional 6.3km/s are actually the RV of the super giant as binary companion).

I divided the two spectra and obtained what seems the Be emission:
graphVVCep_muCep-48kms.png

In velocity around Halpha:
graphVVCep_muCep-48kms_RV.png

I am not sure if this division means anything or just imagination (!), but is this is the emission of the B star alone (maybe with some absorption from the B star?), what is the meaning of measuring the RV of the central line?

If this is the combination of emissions from a disk with two peaks (typical in Be stars), the distance between the two peaks and the R/V ratio (after removing the M star component, at least roughly) would be a more traditional way to lok at emission, no?


Cordialement,
Olivier Thizy
Olivier Thizy
Posts: 370
Joined: Sat Sep 24, 2011 10:52 am
Location: in the french Alps...
Contact:

Re: Some Q&A on VV Cep

Post by Olivier Thizy »

Hello,


A side question as I look more closely to VV Cep spectrum. I thought the line which seems broader at 6678 was He I of the Be star; but the same feature is on mu Cep spectrum so I guess now that this is only the M star spectrum. Here is a comparison of VV Cep and mu Cep in this area:
graph_vvcep_20160831_968_full.png

Is there any 'non emission' line in the VV Cep spectrum which comes from the B star and not the super giant? This would be a good candidate to monitor RV, no?


Cordialement,
Olivier Thizy
Ernst Pollmann
Posts: 461
Joined: Mon Sep 26, 2011 7:16 pm

Re: Some Q&A on VV Cep

Post by Ernst Pollmann »

Olivier,
related to your both postings I would recommend you, to have a look to the new topic above "How to observe the disk eclipse"
I think the main problem of division within that (your) spectral section is the dominant "rest flux" of the super giant.

Ernst
Ernst Pollmann
Posts: 461
Joined: Mon Sep 26, 2011 7:16 pm

Re: Some Q&A on VV Cep

Post by Ernst Pollmann »

Once again back to the radial velocity of the Halpha central absorption.
I found at Kawabata et al. (Publ. Astron. Soc. Japan, 33, 1981) the following statement:

The variation (displacement) of the radial velocities of the Halpha central absorption may be due to the HI gas (= cloud around the whole system) which expands with velocities of 10-20 km/s to us.

But I don't think that this explains the much higher variation in our observation.

Ernst
Olivier Thizy
Posts: 370
Joined: Sat Sep 24, 2011 10:52 am
Location: in the french Alps...
Contact:

Re: Some Q&A on VV Cep

Post by Olivier Thizy »

Ernst,


whay ephemeris do you use?

Gaposchkin (1937) gives (Emin = JD 2421070 + 7430 E0) ?

Is HJD 2421070 your phase 0.0 in your graph?


Cordialement,
Olivier Thizy
Ernst Pollmann
Posts: 461
Joined: Mon Sep 26, 2011 7:16 pm

Re: Some Q&A on VV Cep

Post by Ernst Pollmann »

... no, I used:

Emin = JD 2438481 + 7430 x E0
(Wright, R.A.S.C. Jour., Vol 71, 1977)

Ernst
Olivier Thizy
Posts: 370
Joined: Sat Sep 24, 2011 10:52 am
Location: in the french Alps...
Contact:

Re: Some Q&A on VV Cep

Post by Olivier Thizy »

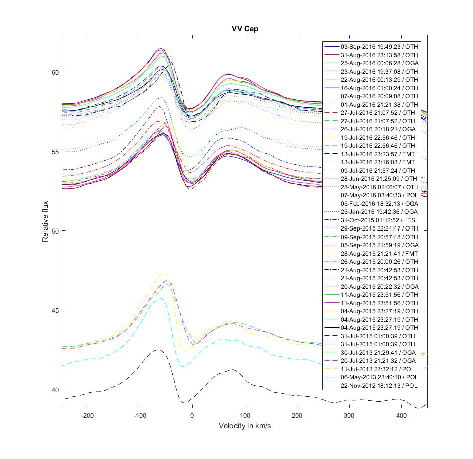
Ernst,


thanks! Using the same ephemeris JD 2438481 + 7430 x E0 (Wright, R.A.S.C. Jour., Vol 71, 1977) - it helps when talking about phase 0.5! -, I plotted this graph with the high resolution (mainly echelle with some additional others to fill the gaps) spectra from current ARAS database:
Phased (Epoch-Period) graph VV Cep.jpg
Phased (Epoch-Period) graph VV Cep.jpg (118.36 KiB) Viewed 13074 times
For my reference, my command line:

Code: Select all

otz_plot -250 450 'all' -w Ha -y p 100 2438481 7430 -x RVH -s 6582 6584 -p pdf
The spectra are distributed on the Y axis as per the phase *100 (ie: spectrum with continuum at 50 is phase 0.5). The spectra have also been corrected from VV Cep published RV (-18.7 from CDS) as well as heliocentric radial velocity correction based on FITS header data.

Anyway, I am trying to match your RV graph of Halpha central absorption with that one... A surface plot (2D time phased spectrogram) would be better but I haven't figured how to do it yet.


Cordialement,
Olivier Thizy
Ernst Pollmann
Posts: 461
Joined: Mon Sep 26, 2011 7:16 pm

Re: Some Q&A on VV Cep

Post by Ernst Pollmann »

Olivier,
For my understanding your plot shows mostly the same variation in RV, however with a somewhat lower resolution in velocity.
But my main problem is still to understand, how and why the "Hydrogen cloud around the system" (that is producing the central absorption in Halpha), varies in RV depending on the orbital phase at all.

Ernst
Post Reply