Possible new Be star HD58859 (gaia21bsw / AT 2021itq
-
- Posts: 227
- Joined: Thu Jun 20, 2019 12:11 am
Possible new Be star HD58859 (gaia21bsw / AT 2021itq
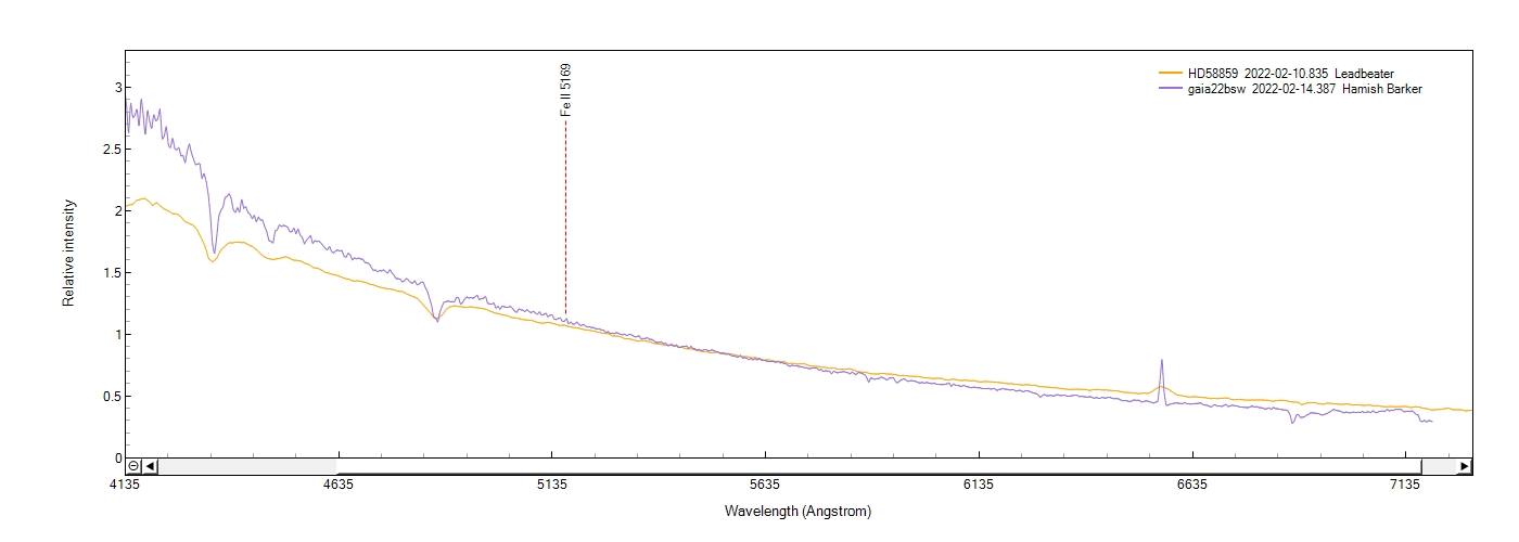
Robin Leadbeater and myself have taken spectra of HD58859. It appears that I initially took a spectrum of the wrong star (facepalm! No guider image was taken - lesson learned!) after noticing it as within reach of my equipment on the gaia alerts page (gaia21bsw). Robin helpfully pointed out my incorrect spectrum (there was a very nearby apparent F type star) after I posted it to TNS.
https://www.wis-tns.org/object/2021itq
Both Robin's Alpy 200 spectrum and my L200 spectra both show emission at H alpha. Mine also might be indicating a possible emission down in the Hbeta absorbtion trough. Robin's planned higher resolution observation should throw more light on these details.
Should this star be added to the BeSS database? I don't have a BeSS login and don't know if there is enough information yet in the spectra to confirm classification.
Cheers,
Hamish
https://www.wis-tns.org/object/2021itq
Both Robin's Alpy 200 spectrum and my L200 spectra both show emission at H alpha. Mine also might be indicating a possible emission down in the Hbeta absorbtion trough. Robin's planned higher resolution observation should throw more light on these details.
Should this star be added to the BeSS database? I don't have a BeSS login and don't know if there is enough information yet in the spectra to confirm classification.
Cheers,
Hamish
-
- Posts: 704
- Joined: Thu Nov 03, 2011 8:50 pm
Re: Possible new Be star HD58859 (gaia21bsw / AT 2021itq
Hello Hamish,
These are the results about HD58859 last night, it's a vry interesting star.
I hope that like you, I'm going to contact someone trom BeSS database and send the fits.
Cheers, Joan.
These are the results about HD58859 last night, it's a vry interesting star.
I hope that like you, I'm going to contact someone trom BeSS database and send the fits.
Cheers, Joan.
- Attachments
-
- HD58859_9.png (15.76 KiB) Viewed 12021 times
-
- HD58859_10.png (17.88 KiB) Viewed 12021 times
-
- HD58859_11.png (22.26 KiB) Viewed 12021 times
-
- HD58859_12.png (13.7 KiB) Viewed 12021 times
-
- Posts: 227
- Joined: Thu Jun 20, 2019 12:11 am
Re: Possible new Be star HD58859 (gaia21bsw / AT 2021itq
Those are nice looking spectra Joan! How much exposure time and telescope aperture was used?
Robin has also made a high resolution observation with a LHiresIII, so perhaps he will upload to BeSS? I have taken low resolution spectra several nights this week, but have been battling some calibration gremlins at shorter than 4500A, including a blue LED light on the power strip supplying my telescope ( now swapped for one with no LED!).
Robin has also made a high resolution observation with a LHiresIII, so perhaps he will upload to BeSS? I have taken low resolution spectra several nights this week, but have been battling some calibration gremlins at shorter than 4500A, including a blue LED light on the power strip supplying my telescope ( now swapped for one with no LED!).
-
- Posts: 1957
- Joined: Mon Sep 26, 2011 4:41 pm
- Contact:
Re: Possible new Be star HD58859 (gaia21bsw / AT 2021itq
They cannot be uploaded to Bess yet as it is not in thereHamish Barker wrote:
Robin has also made a high resolution observation with a LHiresIII, so perhaps he will upload to BeSS?

https://britastro.org/specdb/data_graph ... &multi=yes
Here is H alpha at high resolution
I have alerted Coralie Neiner and Valerie Desnoux
Cheers
Robin
LHIRES III #29 ATIK314 ALPY 600/200 ATIK428 Star Analyser 100/200 C11 EQ6
http://www.threehillsobservatory.co.uk
http://www.threehillsobservatory.co.uk
-
- Posts: 704
- Joined: Thu Nov 03, 2011 8:50 pm
Re: Possible new Be star HD58859 (gaia21bsw / AT 2021itq
Hello Hamish and Robin,
You know, I took this observation with the remote telescope in Santa Maria de Montmagastrell, - really short name -, from 75 Km. my house. There is the result of 5 x 1200 sec. integrations, with a Meade SC16", reduced to f6.7, NOU_T echelle and a ASI2600MM camera. I take the opportunity to say that working with this camera it's another world and if you use ISIS tools to reduce your observations. Virtually, at minimum you double the area of your telescope.
On the other hand, I have seen that you sent your graphics in TNS, could I send it the one mine ? What is the procedure ?
Thanks Robin for alerting C. Neiner and V. Desnoux, I understand you'll let us know what they say.
Cheers, Joan,
You know, I took this observation with the remote telescope in Santa Maria de Montmagastrell, - really short name -, from 75 Km. my house. There is the result of 5 x 1200 sec. integrations, with a Meade SC16", reduced to f6.7, NOU_T echelle and a ASI2600MM camera. I take the opportunity to say that working with this camera it's another world and if you use ISIS tools to reduce your observations. Virtually, at minimum you double the area of your telescope.
On the other hand, I have seen that you sent your graphics in TNS, could I send it the one mine ? What is the procedure ?
Thanks Robin for alerting C. Neiner and V. Desnoux, I understand you'll let us know what they say.
Cheers, Joan,
-
- Posts: 97
- Joined: Wed Sep 28, 2011 4:52 am
Re: Possible new Be star HD58859 (gaia21bsw / AT 2021itq
Hi,
I received the email but the Be catalog owner is really Coralie Neiner. She explained to us some time ago that there are not only emission line to make a star a Be Star. They look at temperature, class, IR dust etc... Let's see if Coralie replies.
Valerie
I received the email but the Be catalog owner is really Coralie Neiner. She explained to us some time ago that there are not only emission line to make a star a Be Star. They look at temperature, class, IR dust etc... Let's see if Coralie replies.
Valerie
-
- Posts: 1957
- Joined: Mon Sep 26, 2011 4:41 pm
- Contact:
Re: Possible new Be star HD58859 (gaia21bsw / AT 2021itq
Hi Joan, Hamish,Joan Guarro Flo wrote:
On the other hand, I have seen that you sent your graphics in TNS, could I send it the one mine ? What is the procedure ?
Please do not send any more spectra to TNS. The purpose of TNS is just for classifying new transients to say if they are supernova, not to follow them up (I do not know why Gaia put these sort of alerts there when they are obviously not supernovae) Gaia reported AT2021itq almost a year ago now and my spectrum showing it is not a supernova but a star in our own galaxy and agrees with the B4IV/V classification in SIMBAD is enough for TNS. More follow ups are not needed there. The object can now be followed up independently by anyone interested, like us for example.
I was the first amateur allowed to submit spectra to TNS and it is very important as amateurs that we do things right. There have been a few wrong reports and mistakes by amateurs submitting to TNS and I worry that we might be stopped entering information in TNS in the future. (There are no professionals checking submissions to TNS are sensible. We must be sure that the data and classification we give are accurate. If there is any doubt do not submit and ask an experienced amateur or professional to help. If we give a wrong classification, professionals might miss an important event)
I get alerts from TNS but I normally do not bother with these Gaia entries because they are obviously not supernovae. I measured this one because I noticed Hamish's original spectrum obviously did not match the classification in SIMBAD and I wanted to make sure it was correct. (It was not)
Cheers
Robin
Last edited by Robin Leadbeater on Mon Feb 21, 2022 2:32 am, edited 3 times in total.
LHIRES III #29 ATIK314 ALPY 600/200 ATIK428 Star Analyser 100/200 C11 EQ6
http://www.threehillsobservatory.co.uk
http://www.threehillsobservatory.co.uk
-
- Posts: 1957
- Joined: Mon Sep 26, 2011 4:41 pm
- Contact:
Re: Possible new Be star HD58859 (gaia21bsw / AT 2021itq
Hi Valerie,Valerie Desnoux wrote:Hi,
I received the email but the Be catalog owner is really Coralie Neiner. She explained to us some time ago that there are not only emission line to make a star a Be Star. They look at temperature, class, IR dust etc... Let's see if Coralie replies.
Valerie
I reported the object as a possible Be star (Or perhaps Herbig AeBe ?) because it is already classified as a B4IV/V star in SIMBAD, consistent with the low resolution spectrum I took and the high resolution H alpha also showed a clear disc profile. The slow increase in brightness reported by Gaia in TNS could also be consistent with the building of a disc. There are no reports of emission for this star previously so it appears to have gone into emission since the original spectral classification. I think a new Be star this bright could be of interest. What more tests could we do to prove or disprove it is a Be star and distinguish it from other possibilities ?
Cheers
Robin
LHIRES III #29 ATIK314 ALPY 600/200 ATIK428 Star Analyser 100/200 C11 EQ6
http://www.threehillsobservatory.co.uk
http://www.threehillsobservatory.co.uk
-
- Posts: 227
- Joined: Thu Jun 20, 2019 12:11 am
Re: Possible new Be star HD58859 (gaia21bsw / AT 2021itq
Tom Love has also observed the same target with his alpy and rc12.
Robin, I assume you mean don't post any more spectra of at2021itq to tns (fair enough), not "don't post spectra there at all"?
Cheers,
Hamish
Robin, I assume you mean don't post any more spectra of at2021itq to tns (fair enough), not "don't post spectra there at all"?
Cheers,
Hamish
-
- Posts: 1957
- Joined: Mon Sep 26, 2011 4:41 pm
- Contact:
Re: Possible new Be star HD58859 (gaia21bsw / AT 2021itq
Hi Hamish,Hamish Barker wrote:Tom Love has also observed the same target with his alpy and rc12.
Robin, I assume you mean don't post any more spectra of at2021itq to tns (fair enough), not "don't post spectra there at all"?
TNS is designed specifically for supernova confirmation and classification, not for reporting or classifying other objects or following up already classified objects unless the classification changes. On the front page it says
"As of January 1, 2016 the Transient Name Server (TNS) is the official IAU mechanism for reporting new astronomical transients such as supernova candidates. Once spectroscopicailly confirmed, new supernova discoveries are officially designated a SN name (of the form SN 2016A and so on, as before).
This is a continuation of the IAU naming scheme for supernovae which was handled by the Central Bureau for Astronomical Telegrams until the end of 2015, and has been approved as the official IAU naming scheme by the IAU Executive Committee from 1st January 2016.
Variable stars, including in particular Galactic nova candidates, should be reported in the same manner as before. Please do not submit reports regarding such objects to this web application."
I only broke this rule by submitting my spectrum of AT2021itq because I saw that your classification was in error.
I only submit spectra to TNS because I have the capability to take spectra of supernova which are good enough in some circumstances to make a definitive classification (These are usually fainter than mag 15, brighter ones are normally classified by professionals very quickly) and understand how to classify them accurately (some supernovae are very difficult to classify accurately, even for professionals) If you do submit classifications you should be very sure it is correct. If in doubt I wait to see if a professional classification is made or contact the discovering team for advice.
Cheers
Robin
LHIRES III #29 ATIK314 ALPY 600/200 ATIK428 Star Analyser 100/200 C11 EQ6
http://www.threehillsobservatory.co.uk
http://www.threehillsobservatory.co.uk